关于Raptor判断一个数据是否为整数的详细操作。

最近不少网友问东方狮教程小编关于Raptor判断一个数据是否为整数的操作,而今日东方狮教程小编就演示了关于Raptor判断一个数据是否为整数的操作方法吧,相信对大家会有所帮助的。

Raptor判断一个数据是否为整数的详细操作

Raptor判断一个数据是否为整数的详细操作

编程

1、打开软件。记得先保存,不保存也没事后面系统也会提示保存

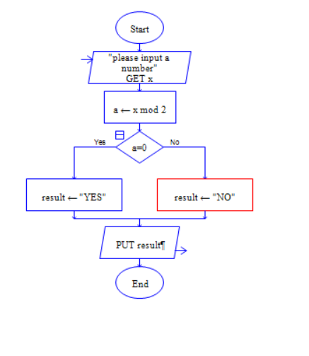
2、会看到已有Start 和End了 在这两个之间依次添加输入 赋值 选择 赋值 赋值 输出 符号。加完后如下所示

Raptor判断一个数据是否为整数的详细操作

3、双击输入框 在输入框上方输入 \"please input a number\",下方输入 x

Raptor判断一个数据是否为整数的详细操作

4、双击选择框 在选择框输入 a=0

Raptor判断一个数据是否为整数的详细操作

5、双击赋值框1 在上方输入 a 下方输入x mod 2,双击赋值框2 在上方输入 result 下方输入 \"YES\",双击赋值框3 在上方输入
result 下方输入 \"NO

Raptor判断一个数据是否为整数的详细操作

Raptor判断一个数据是否为整数的详细操作

Raptor判断一个数据是否为整数的详细操作

6、双击输出框输入 result 结果如图

Raptor判断一个数据是否为整数的详细操作

Raptor判断一个数据是否为整数的详细操作

二、运行流程图

点击上方箭头图标,以8为例运行 最终输出结果 YES

Raptor判断一个数据是否为整数的详细操作

Raptor判断一个数据是否为整数的详细操作

Raptor判断一个数据是否为整数的详细操作

上面就是东方狮教程小编为大家带来的Raptor判断一个数据是否为整数的详细操作流程,一起来学习学习吧。相信是可以帮助到一些新用户的。