亲们或许不知道Raptor判断一个年份是不是闰年的详细操作,那么今天东方狮教程小编就讲解Raptor判断一个年份是不是闰年的相关教程哦,希望能够帮助到大家呢。
Raptor判断一个年份是不是闰年的相关教程
编程
打开软件
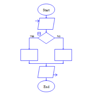
在 Start 和 End之间添加 输出 选择 赋值 赋值 输出 符号。添加完后如图所示

双击输出框,在上方输入\"input a number\" 下方输入 x

双击判断框 输入 x mod 4=0 and x mod 100!=0 or x mod 400=0

在左侧输入框上输入 result 下方输入 \"YES\",在右侧输入框上方输入 result 下方输入 \"NO\"


双击输出框 输入 result 完成程序框图设计 如图所示

运行流程
点击上方小箭头运行程序

东方狮教程小编以2000年为例 输入2000 最终结果为 YES


各位小伙伴们,看完上面的精彩内容,都清楚Raptor判断一个年份是不是闰年的简单操作方法了吧!