估计有的用户还不了解word2013怎样设置自动编号公式的操作,下文东方狮教程小编就分享word2013设置自动编号公式的操作教程,希望对你们有所帮助哦。
word2013设置自动编号公式的操作教程
打开自己需要编号公式的论文;

安装过Mathtype后,Word会有一个Mathtype的模块,选择该模块下的“Insert
Number”->“Format”,设置一下编号的格式;

在弹出对话框中,主要设置“Simple Format”简单格式就好,在Preview中可预览格式;
备注:可以看到公式编号可以包含章节号,也可以选择不包含,我们以包含章节号为例,若不需要的话,把前面的钩去掉即可。

点击“OK”确认格式后,就来插入编号;将光标放在需要编号的公式后,直接点击“Insert
Number”按钮,公式就会按照我们之前设置的格式进行编号了;

当我们的论文到下一章,希望公式重新编号时,首先需在该章节的一个空白处点击Mathtype模块中的“Chapters &
Sections”->“Insert Next Chapter Break”,插入一个章节结束标志,意为之后为下一章的公式,编号从新开始;

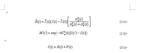
之后在公式后点击“Insert Number”按钮,会发现公式的编号已经是(2-1)了;

适当调整一下公式格式,我们公式编号的任务就大功告成了!

若删除了一个公式,那么只要将光标放在之后的任意公式编号处,选择“Insert
Number”->“Update”,公式的编号就会自动更新,是不是更为方便!


各位小伙伴们,看完上面的精彩内容,都清楚word2013设置自动编号公式的操作过程了吧!