小编教你MathType量子算符的输入过程。

WeLink软件大家有入手吧,有时候由于需求要输入量子算符该如何操作呢??下面一起来了解下MathType量子算符的输入过程吧,希望可以帮到大家。

MathType量子算符的输入过程

MathType量子算符的输入过程

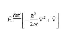
比如哈密顿算符:

MathType量子算符的输入过程

详细操作如下:

输入H后,在MathType工具栏中选择修饰模板中的帽子模板。

MathType量子算符的输入过程

在矩阵模板中选择2行1列模板。

MathType量子算符的输入过程

在矩阵的上部选择底线与顶线模板中的双底线模板。

MathType量子算符的输入过程

选择括号模板中的括号或方括号模板,依次输入,再选择分式模板中的标准分式尺寸输入分式,分子选择杂项符号模板中的普朗克常量,输入后选择下标和上标模板中的上标模板输入平方。

MathType量子算符的输入过程

选择杂项符号中的nabla算符输入,再依次输入,V的输入可依照H的输入方法。

MathType量子算符的输入过程

各位伙伴,学完本文MathType量子算符的输入过程后,是不是觉得以后操作起来会更容易一点呢?