很多伙伴都在使用MathType,关于如何输入约去分式一直是新用户比较棘手的,下面东方狮教程小编为大家整理一下关于MathType中约去分式的输入方法,希望这些方法能够帮助到大家。
MathType中约去分式的输入方法

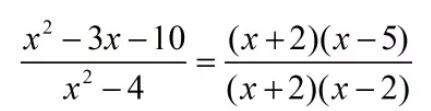
假设使用的等式如图所示:
 
要约去等式中相同因式,可以用MathType的“约去”划线模板来完成,详细操作如下:
1.打开MathType,在分式模板中选择标准分式输入分式。在“=”输入好后插入第二个分式模板。
 
2.在底线与顶线模板中选择划线模板。
 
3.在分子中输入第一个分式,输入完括号后按下Tab键退出划线模板,再继续输入第二个分式,输入后如图所示。
 
4.按相同方法输入分母,得到如图所示约去分式格式。
 
关于MathType中约去分式的输入方法,东方狮教程小编今天就为大家讲解到这里,希望能够帮助到大家。