今天东方狮教程小编给大家讲解MathType输入约去分式的详细步骤,有需要或者有兴趣的朋友们可以看一看下文,相信对大家会有所帮助的。
MathType输入约去分式的详细步骤
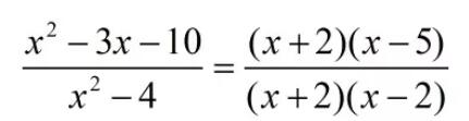
假设使用的等式如图所示:

要约去等式中相同因式,可以用MathType的“约去”划线模板来完成,详细操作如下:
1.打开MathType,在分式模板中选择标准分式输入分式。在“=”输入好后插入第二个分式模板。

2.在底线与顶线模板中选择划线模板。

3.在分子中输入第一个分式,输入完括号后按下Tab键退出划线模板,再继续输入第二个分式,输入后如图所示。

4.按相同方法输入分母,得到如图所示约去分式格式。

各位小伙伴们,看完上面的精彩内容,都清楚MathType输入约去分式的详细步骤了吧!