亲们想知道Mathtype编辑大括号分段函数的操作吗?下面就是东方狮教程小编整理的Mathtype编辑大括号分段函数的详细方法,赶紧来看看吧,希望能帮助到大家哦!
Mathtype编辑大括号分段函数的详细方法
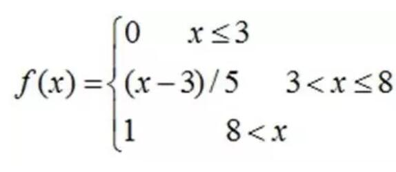
要求:编写如图所示的分段函数

1.打开Mathtype公式编辑器。
2.点击栅栏模板,插入大括号。
3选其中的左括号。

4.然后,在矩阵模板下选择多选按钮。

5.在弹出的矩阵对话框中选择行数为3,列数为2,插入3×2矩阵。

6.插入矩阵后,在第一列输入函数表达式,第二列是相应的部分区间。
上文就讲解了Mathtype编辑大括号分段函数的详细步骤,希望有需要的朋友都来学习哦。