今天东方狮教程小编就带大家来共同学习MathType编辑器中划线模板的操作?希望可以帮助到有需要的小伙伴哦,下面就是详细完整的操作步骤。
MathType编辑器中划线模板的操作方法
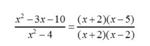
假定使用的等式如图所示:

要约去相同因式,我们将使用到MathType的“约去”划线模板。
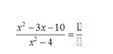
1.首先创建分式,在输入“=”好后插入第二个分式模板:

2.在输入数字前,在模板中选中划线模板,

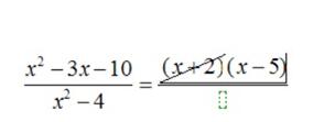
3.输入划线模板,在分子中输入第一个分式,按下Tab键退出划线模板,然后输入第二个分子,

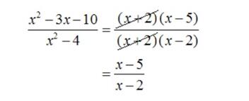
4.当你完成第二个分式的输入时,点击回车键换行。输入第二个等号“=”,然后输入分式。为了使等式在“=”处对齐,在格式菜单中选择在等号处对齐命令,最终等式效果如图所示:

快来学习学习使用MathType编辑器中划线模板的操作内容吧,一定会帮到大家的。