今天东方狮教程小编就带大家来共同学习MathType控制字距嵌空的简单教程,希望可以帮助到有需要的小伙伴哦,下面就是详细完整的操作步骤。
MathType控制字距嵌空的简单教程
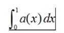
创建的效果如图所示:

创建操作如下:
1、在积分面板中的图标上点击插入一个确定的积分号,或者按下Ctrl+I组合键,在大光标位置键入被积函数同时再小光标位置输入积分的上限1和下限0。你很可能并没有被积函数中的圆括号认为是扩展积分的种类,因此你能够从键盘上输入他们,而不是使用模板。
2、为改善等式的外观,我们应该在a(x)和dx之间插入一个小的字空(约1/6字空)。MathType并不能自动添加字空,因此,我们提供了便利的方式来手动更正字空。
模板提供5种图标分别代表不同字空,如下表所示:

3、在“)”和“d“之间点击置入插入点,然后在面板中选择图标置入一个小的字空,或者按下Ctrl+Spacebar组合键置入小的字空。移动插入点光标到被积函数的外围,如图所示。

以上这里为各位分享了MathType控制字距嵌空的简单教程。有需要的朋友赶快来看看本篇文章吧。