我来分享几何画板对象进行删除和拖动的操作方法。

东方狮教程小编相信很多人的工作中都少不了几何画板这款软件,但是你们了解删除和拖动吗?下文这篇文章就带来了几何画板对象进行删除和拖动的操作方法。

几何画板对象进行删除和拖动的操作方法

几何画板对象进行删除和拖动的操作方法

几何画板对象进行删除和拖动的操作方法

1.删除

删除就是把对象(点、线或圆)从屏幕中清除出去。方法是:先选中要删除的对象,然后再选择“编辑”菜单中的“清除”项,或按键盘上的“Delete”键或“backspace”键。请注意,这时该对象的所有子对象均会被删除,和一般的
windows软件又不同,和数学思想倒很相近,“皮之不存,毛将附焉”。

2.拖动

用鼠标可以选择一个或多个对象,当你用鼠标拖动已经选中的对象在画板中移动时,这些对象也会跟着移动。由于几何面板中的几何对象都是通过几何定义构造出来的,而且几何画板的核心就在于“在运动中保持几何关系不变”,所以,一些相关的几何对象也会相应地移动。

当你拖动画板中的图形时,可以感受到几何画板的动态功能。请注意:在拖动之前,请按“Esc”键,或点击【移动箭头工具】后,选定要移动的对象。

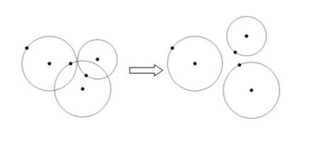
在前面学习中,你是不是用画圆工具画了三个过同一点的圆,并把它保存为“共点的三圆.gsp”的文件。现在把这个文件调出来,请大家任意选中一个圆随意拉动,看这三个圆是否还能“过同一点”?拖动结果可能如下图所示:

几何画板对象进行删除和拖动的操作方法

在拖动过程中,几何画板能够保持所有给定的几何关系,因为它就是根据几何关系来设计的。

上文就讲解了对几何画板对象进行删除和拖动的操作内容,希望有需要的朋友都来学习哦。