分享MathType分段函数居中对齐的操作方法。

亲们或许不知道MathType分段函数居中对齐的详细操作,那么今天东方狮教程小编就讲解MathType分段函数居中对齐的操作方法,希望能够帮助到大家呢。

MathType分段函数居中对齐的操作方法

MathType分段函数居中对齐的操作方法

MathType分段函数居中对齐的操作方法

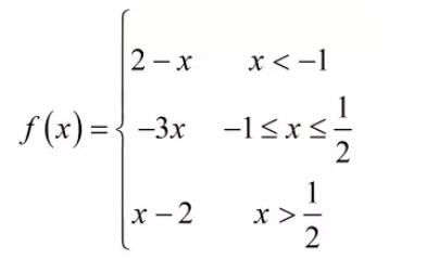
以使上图给出的分段函数居中对齐为例讲解:

1.将光标定位到上面第一个公式的2前,选择“格式”菜单下的“矩阵”命令,在矩阵子菜单下选择 “更改矩阵”。

MathType分段函数居中对齐的操作方法

2.弹出的矩阵对话框,在“列对齐”方式下选择“居中”,点击确定按钮。

MathType分段函数居中对齐的操作方法

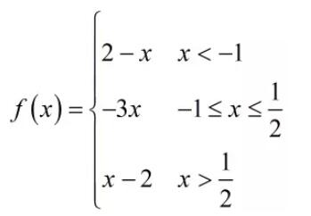
3.此时分段函数以居中对齐显示,如图所示。

MathType分段函数居中对齐的操作方法

提示:还可以在矩阵对话框中选择其它的列对齐方式,甚至还可以改变行对齐方式。

上文就讲解了使MathType分段函数居中对齐的操作内容,希望有需要的朋友都来学习哦。