小伙伴们你们知道在word表格里数据怎样按小数点对齐呢?今天东方狮教程小编很乐意与大家分享word表格里数据按小数点对齐的操作步骤,感兴趣的可以来了解了解哦。
word表格里数据按小数点对齐的操作步骤
1、选中整个表格列。单击“开始”选项卡,单击“段落”组的对话框启动器。

2、在“段落”对话框中,单击“制表位”按钮。在“制表位位置”框中,为新制表位键入适当的度量值。度量值以“字符”为单位,1个字符位可以容纳两个数字,在“对齐方式”标题下,选中“小数点对齐”复选钮;在“前导符”标题下,选中“无”复选钮;单击“确定”按钮。

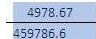
设置完成了。对齐了。
![]()
以上这里为各位分享了使word表格里数据按小数点对齐的操作步骤。有需要的朋友赶快来看看本篇文章吧。