我来分享MathType输入联立条件的过程。

联立条件如何输入?这个问题对于刚入手MathType的用户来说还比较棘手,下面东方狮教程小编为大家整理一下关于MathType输入联立条件的过程,大家可以参考学习。

MathType输入联立条件的过程

MathType输入联立条件的过程

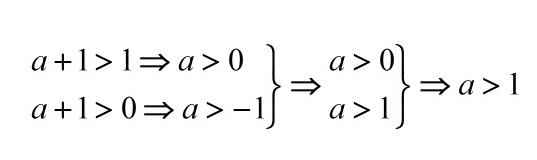
如要输入如图所示的联立条件推导过程:

MathType输入联立条件的过程

1.在MathType编辑窗口中,在括号模板中选择右边大括号模板,光标定在虚线框中。

MathType输入联立条件的过程

2.在矩阵模板中,选择2行1列模板,叠套在前边的虚线框中变成两行,即可输入公式。

MathType输入联立条件的过程

3.将光标放在大括号右边,在箭头模板中选择向右双箭头符号;再次应用前述办法,做出第二个右括弧。

MathType输入联立条件的过程

提示:如果公式不是很复杂,第二步使用矩阵模板也可以直接用回车键换行来实现。

以上就是MathType输入联立条件的过程啦,希望能够对大家有所帮助或启发哦。