计算器在学习生活中给大家帮了不少忙,但是有些复杂公式是依托不了计算器的,今天小编就给大家介绍一款与众不同的计算器app-Calci,它可是连微积分都能算哦,学生党真心不能错过。

Calc体积非常小,不存在什么申请权限、盗取隐私什么的,且没有广告,十分干净。Calci计算器不仅能够运行最基本的四则运算,还支持求极限、算微积分、复变函数、进制换算等计算。无论你是学生,还是已经走在专业道路上的工程师,这款Calci计算器都能派上用场。Calci计算器的功能强大,不过使用其实还是挺贴心的。一来,它提供了比较详细的使用说明,只要长按“=”,就可以进入到说明界面。二来,它的功能本身是比较易用的,下面举个算极限和算积分的例子。
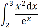
例如,笔者想要计算定积分:

那么只需要像下图那样输入即可。

而如果你想要计算极限:

那么则输入下图的内容计算。

可以看到,就算是算式涉及高等数学的内容,但在Calci计算器要计算,也是轻而易举的。值得一提的是,Calci计算器本身为各种运算预设了格式,算定积分你只需要填入字母数字即可,并不需要慢慢自己输入括号、逗号等等,这也减少了很多出错的可能性。如果想要调用之前的结果,只需要双击输入框,就可以查看到历史记录,直接点击历史记录就能够把内容填入到输入框,这很方便需要多步的运算。

使用说明和计算记录
连微积分都能算,这款Calci计算器对于学生党来说真心好用。