今天东方狮教程小编就带大家来共同学习MathType输入分式与根式的操作教程,希望可以帮助到有需要的小伙伴哦,下面就是详细完整的操作步骤。
MathType输入分式与根式的操作教程
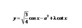
以一个公式来举例说明MathType中如何输入分式与根式。

启动MathType软件。点击插入->对象。
输入根式。点击工具栏上的根式与分式的方框,我们可以直接通过根号与分号的方框完成输入。

输入平方,平方可以通过工具栏上面的按钮完成输入,或可以使用快捷键Ctrl+H。
输入特殊符号,点击菜单栏中的编辑->插入符号,即可打开特殊符号对话框,选择需要输入符号。

快来学习学习MathType输入分式与根式的操作步骤吧,一定会帮到大家的。